细胞培养作为生物实验的基础操作,在研究生的日常中占着相当大的分量。最近实验室新来的小师妹,就因为细胞培养的问题愁容满面。



很多同学看到这里,可能会有很多疑惑,为什么振幅和转速这么重要,对细胞培养影响这么大呢?
其实这两个参数影响的是氧气传递速度。那他们之间具体有什么关联,我们又该如何正确的去选择合适的振荡培养箱呢?请继续往下看。
摇床的振幅指托盘在做圆周运动时候的直径,有时候我们也叫“振荡直径”或“轨道直径”,符号:Ø。作为标准,知楚提供振幅为26mm和50mm的摇床,同时可为客户提供其他尺寸振幅的定制摇床。
氧气传递效率是指,氧气从大气中传入到液体中的效率。 OTR数值越高,氧传递效率越高。
这两个因素都会影响培养瓶中培养基的混合。 混合效果越好,氧传递速率(OTR)就越好。遵循这些指导原则,可以选择最适合的振幅和转速。
一般来说,选择25mm或者26mm振幅可以作为万能振幅应用于所有培养。在一些应用中,如果对氧传递/细胞生长有限制,可能会选择一些其它的振幅。
振幅和转速
振幅和转速都会对氧传递造成影响。如果在转速很低(比如100rpm)的细胞培养中,振幅的不同对氧传递几乎没有明显影响。
要达到较高的氧传递效果,首先是尽可能的提高转速,托盘会适当的平衡转速。但并不是所有培养物都能够在高速振荡下良好生长,一些对剪切力敏感的培养物,高转速会导致培养物死亡。
其他因素的影响
装液量方面:锥形烧瓶的装液量为不超过总体积的三分之一。如果要达到最大氧传递,装液量不能超过10%。不要将装液量达到50%。
扰流板方面:在各类型的培养中,扰流板都有效提高氧传递。
有些厂家推荐使用“高产量”培养瓶。这种瓶的扰流板会增加液体摩擦力,摇床可能会达不到最大设定转速。
振幅和转速的关联关系
摇瓶中的离心力可以通过下面公式计算
FC=rpm2 ×振幅
离心力和振幅间存在线性关系:
如果使用25mm振幅 到 50mm振幅(转速相同),离心力增加了2倍。
离心力和转速存在平方关系:
如果转速提高到2倍(振幅相同),离心力提高4倍;如果转速提高到3倍,离心力则提高9倍;
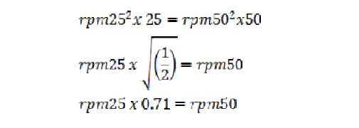
如果用振幅25mm,在给定的速度下,进行培养;如果希望用振幅50mm,达到相同的离心力,转速应该用1/2的平方根计算,因此您应该使用70%的转速,达到近似相同的培养条件。

上述只是理论上的计算离心力的方法。现实应用中会有其他影响因素。这种计算方法可以得到近似值,供操作参考。
细菌,酵母和真菌培养:
若摇瓶中的氧气传递效率比生物反应器低得多,多数情况下氧传递可能是受摇瓶培养的限制,振幅则与锥形培养瓶的大小相关。如26mm振幅应用于从25毫升到2升的锥形培养瓶;50mm振幅应用于2升至5升的锥形培养瓶
细胞培养:
哺乳动物细胞培养对氧气的需求相对较低,较低的功率输入即可。对于250毫升摇瓶,在较为宽广的振幅和振速范围(20-60mm振幅;100-300rpm)都可以提供足够的氧气传递;如果直径较大的烧瓶(Fernbach烧瓶)推荐使用50毫米振幅;使用一次性培养袋,推荐使用50mm振幅。
微孔板和深孔板:
有两种不同的方法可以获得最大的氧传递速率。若50mm振幅,转速不低于250rpm;若使用3mm振幅,转速在800-1000rpm。


如果你的小师妹也遇到了细胞培养方面的难题,请快来联系东锐科技吧(020-83487199)!